Samodlade sommarmellangrödor snärjer ogräsen

Under 2017 genomfördes ett fältförsök med fyra olika sommarmellangrödor. Här undersöktes dess ogräsbekämpande egenskaper både när de odlades i renbestånd samt i samodling med luddvicker. Mellangrödorna såddes i början av juli och var ogödslade resp. gödslade med 40 kg ammoniumkväve per ha i form av biogasgödsel. Försöket finansierades av Partnerskap Alnarp (PA-projekt 1044) och det var placerat på en lätt sandjord vid Norra Åsum, söder om Kristianstad.
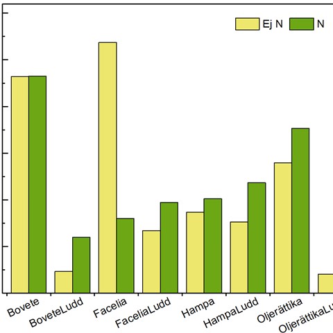
Resultatet från försöket visar att fröogräsen kunde kontrolleras på ett effektivt sätt av mellangrödorna bovete, facelia/honungsört, hampa* och oljerättika, både när de odlades i renbestånd och när de samodlades med luddvicker. Effekten mot fröogräsen förstärktes när de samodlades och om de var ogödslade. Allra bäst effekt gav bovete och oljerättika, när de var ogödslade och samodlade med luddvicker.
Dessa positiva erfarenheter rörande sommarmellangrödornas möjlighet till ogräskontroll kan tillämpas i praktiken redan under 2018 på ekologiska fokusarealer. Jordbruksverkets nya regler för förgröningsstöd anger att om minst två mellangrödor, upptagna på Jordbruksverkets lista, odlas tillsammans, så kan det räknas som ekologisk fokusareal.
För att kunna dra ännu mer generella slutsatser rörande mellangrödors möjligheter att bekämpa ogräs, i olika växtföljder, behöver fler försök göras, där samodlade mellangrödor etableras vid olika tidpunkter. Nya försök behövs eftersom etablering av sommarmellangrödor i början av juli starkt begränsar vilka huvudgrödor som de kan kombineras med. En senare etablering under sommaren av mellangrödorna ökar möjligheterna till kombinationer med fler huvudgrödor t.ex. raps, spannmål, potatis, morot, kål och andra grönsaksgrödor.
* Hampa är ej godkänd som mellangröda, enligt SJV:s regelverk, dock godkänd som huvudgröda.